# R2 / Coefficient of Determination
# Theory
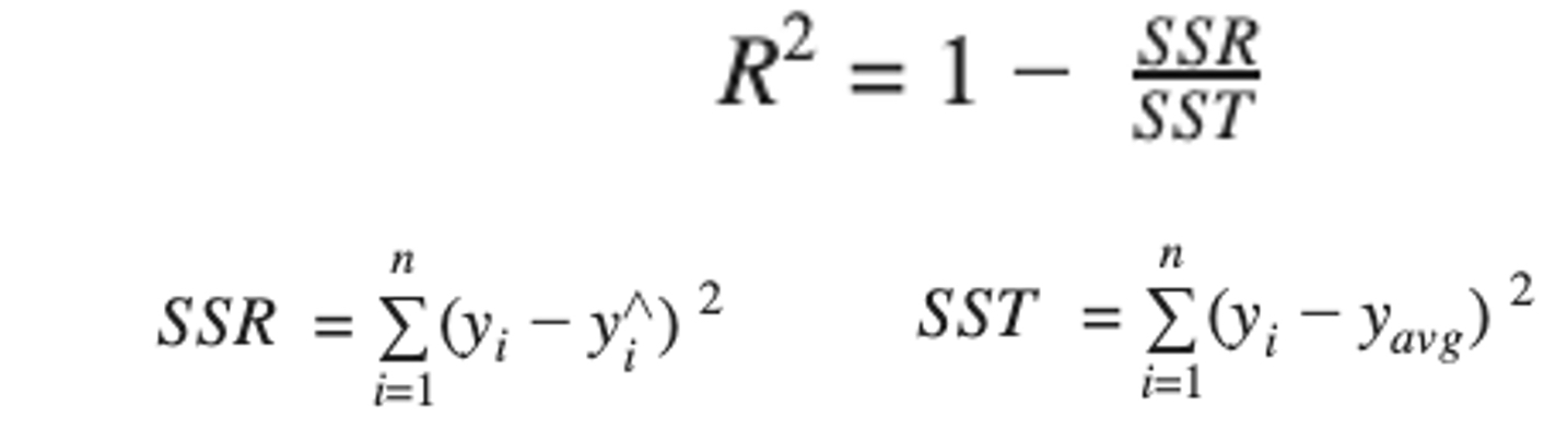
Used to determine strength of correlation between features and target.
SSR (unexplained variation)
SST (total variation)


R2 of 1, means 100% of the variation is explained.
R2 will be 0, if the SSR=SST; which means the model is not performing better than the average.
# Adjusted R squared
R2 will increase by adding more numbr of features; r2 inflation. As R2 always increases, you might always add more features; which is misleading.

← Metrics Scikit Learn →