# performance
# Loss function
the objective function that our model tries to minimizin in the training phase.
Main Loss Functions:
# Mean Absolute Error
Average magnitude of errors


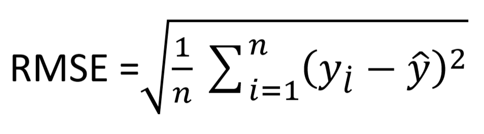
# Root Mean Squared Error
Root over mean of Squared difference between Original and Predictions


RMSE penalized the model more on error; since errors are squared first.