Perceptron motivation 
Perceptron specific 
Perceptron generic 
Perceptron generic 
why perceptron are called neural networks

neurons take inputs from the dendrites (nerve impulses) and then decdes what to ouput
Not perceptron
A | B | A || B | Not (A || B) |
0 | 0 | 0 | 1 |
0 | 1 | 1 | 0 |
1 | 0 | 1 | 0 |
1 | 1 | 1 | 0 |
0 0 1 0 1 0 1 0 1 1 1 0
In this quiz, you'll set the weights (weight1, weight2) and bias bias to the values that calculate the NOT operation on the second input and ignores the first input.
weight1 = 0.0 weight2 = -0.5 bias = 0.0
# Example Perceptron

weight1 = 0.5
weight2 = 0.5
bias = -0.9
linear_combination = weight1 * test_input[0] + weight2 * test_input[1] + bias
output = int(linear_combination >= 0)

Or perceptron is very similar to an and perceptron. To convert, just increase the wieghts or the bias.
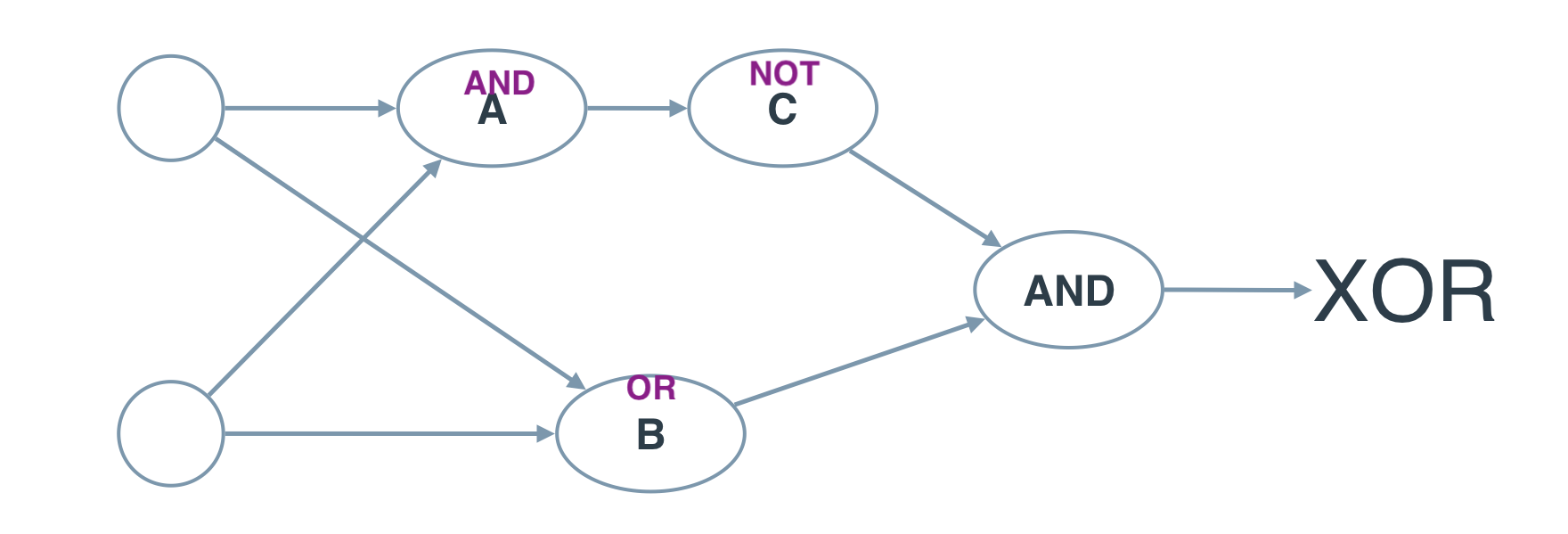
Xor Perceptron

Non Linear Decision Boundary Only true if one input is true and the other is false
XOR can be solved as a combination of AND, OR and NOT perceptron

Perceptron Algorithm 
If the line needs to move closer to the negative region, we need to subtract the slope