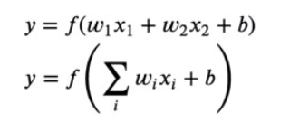
Basic Neural Network
Mathematically looks like
vector = 1d tensor matrix = 2d tensor
← /dl/intro_neural_networks/perceptron.html /dl/intro_to_pytorch/loading_data.html →